MOS管柵極驅動振蕩現象原因及解決方法-KIA MOS管
信息來源:本站 日期:2021-04-20
功率MOSFET以其開關速度快、驅動功率小和功耗低等優點在中小容量的變流器中得到了廣泛的應用。
當采用功率MOSFET橋式拓撲結構時,同一橋臂上的兩個功率器件在轉換過程中,柵極驅動信號會產生振蕩,此時功率器件的損耗較大。當振蕩幅值較高時,將使功率器件導通,從而造成功率開關管直通而損壞。
目前常用的解決方法是在MOSFET關斷時在柵極施加反壓,以削弱振蕩的影響,但反壓電路卻占用空間,同時增加了成本。
本文在深入分析了MOSFET柵極振蕩產生機理基礎上,設計了硬件驅動電路。理論分析和實驗結果表明,采用本文所提出的方法,只需增加較少的器件就能夠最大程度地抑制振蕩。
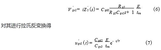
由功率MOSFET的等效電路可知,3個極間均存在結電容,柵極輸入端相當于一個容性網絡,驅動電路存在著分布電感和驅動電阻,此時的橋式逆變電路如圖1所示。
以上管開通過程為例,當下管V2已經完全關斷時,柵源極同電位。在上管開通過程中,設上管開通時間為ton,直流母線電壓為E,由于開通過程時間很短,其漏源極電壓迅速由直流母線電壓下降到近似零,相當于在下管V2漏源極間突加一個電壓E,形成很高的dv/dt。
該dv/dt的數值與上管V1的開通速度有關,可近似認為
圖1 半橋式拓撲的等效電路
此時雖然下管已經完全關斷,但是該dv/dt因結電容Cgd2的存在而對柵源極狀態產生影響。
由上式可知,當上管開通時會在下管柵極產生阻尼衰減振蕩信號,如圖2所示。同理,當上管關斷、下管開通時,上管柵極也同樣會產生振蕩,只是相位與前者相反,其幅值可以表示為
由于振蕩頻率很高,使MOSFET處于高頻開關狀態,產生很大的開關損耗。
更嚴重的是若振蕩的幅值達到MOSFET的門檻電壓,下管將開通,而上管正處于導通狀態,此時將造成上下功率管的直通現象,造成MOSFET的損壞。以上現象可以通過調整驅動電路參數加以抑制。
圖2 柵極振蕩干擾實測波形
驅動電路的改進減小分布電感若取極限情況,驅動電路的分布電感為零,則驅動信號由式(3)簡化為如下形式
式中,S=Rg2Cgs2。
由上式可知此時振蕩已經變為指數衰減形式,在t=0時為最大值
由上述分析可知,分布電感主要影響驅動信號振蕩的暫態表現形式,若盡量減小分布電感,可使驅動信號由阻尼振蕩變為指數衰減,即可消除MOSFET的高頻開關損耗。同時亦可一定程度上降低振蕩幅值。
因此在設計電路時應該盡量使驅動芯片靠近MOSFET,并減小閉合回路所圍的面積。如用導線連接應該使用雙絞線或使用同軸電纜,以盡量減小分布電感。
開通和關斷時間的配合與調整由式(5)和式(8)可知,MOSFET的開通時間是影響驅動信號振蕩幅值的主要因素,呈反比例關系。
若適當增大器件的開通時間,即可在很大程度上減小振蕩幅值,因此考慮在驅動芯片與MOSFET柵極間加設緩沖電路,即人為串接驅動電阻,在MOSFET柵源極間并聯電容以延長柵極電容的充電時間,降低電壓變化率。
而MOSFET的關斷時間與開通時間存在著一定的矛盾,若單純增大開通時間,必然也增大了關斷時間,而從減小死區時間角度,希望關斷時間短一些,因此考慮調整MOSFET的開通和關斷時間;
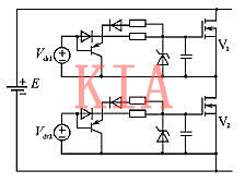
在驅動電阻上反并聯快恢復二極管,改變MOSFET開通和關斷的時間常數,在開通時為減小dv/dt的應力,增加柵極的充電時間,而關斷時間應短一些,以使用較短的死區時間減小輸出波形的諧波含量,電路如圖3所示。
通過以上措施,可以實現在增大開通時間,減小電壓變化率的同時,保證了較短的關斷時間。
圖3 改進后驅動電路
理論上,開通時間越長dv/dt應力越小,振蕩產生的干擾效果就越不顯著,但是由MOSFET開關損耗近似公式
式中:f為MOSFET的工作頻率。
由于MOSFET通常工作在幾十kHz的開關狀態,其充放電電流由柵源極電容和驅動電壓決定,若驅動電阻選的很大,使得電路損耗過大,不利于驅動電路的安全運行,因此要綜合考慮電阻、電容的取值。
一般驅動電阻的阻值為幾十8,柵源極并聯電容的取值以式(10)為參考。
其它措施考慮到驅動信號振蕩主要出現在橋臂一側MOSFET的關斷階段,即柵源極為零電位時,由PNP三極管的工作原理,在驅動芯片與驅動電阻之間外接PNP三極管,當驅動芯片提供高電平時,三極管不導通,對電路邏輯不造成影響。
在驅動芯片提供低電平過程中,當未產生振蕩時,三極管基極與集電極電位均近似為零,三極管不工作;當MOSFET柵源極產生振蕩時,三極管集電極電位為正,將飽和導通,振蕩電壓經反并聯二極管和三極管迅速泄放,避免了MOSFET誤導通。
同時在柵源極間并聯穩壓管,進一步限制柵源極過壓。最終改進后驅動電路如圖3所示。
圖4是工作頻率f為40kHz,MOSFET未加緩沖電路的柵極驅動信號實測波形,此時驅動芯片直接與MOSFET的柵極相連,由于沒有考慮分布電感的作用,芯片與MOSFET擺放位置相對較遠。
實際測得驅動電路分布電感L為135nH,驅動電阻近似為零,從圖4中可以看出,改進前振蕩的幅值很大,導致MOSFET發熱嚴重,直至過熱損壞,逆變器根本無法正常工作。
驅動電路改進后,實際測得分布電感L為23.5nH,驅動電阻Rg取為30Ω,并聯電容C取為0.01μF。實測柵極驅動波形如圖5所示,可以看出改進后的電路很好地解決了柵極驅動信號的振蕩問題。
圖4 改進前驅動信號波形
圖5 改進后驅動信號波形
橋式拓撲結構功率MOSFET在開關轉換過程中發生的直通現象是由于結電容、驅動電路的分布電感以及開關時產生較高的dv/dt在柵極產生振蕩造成的。
在分析了柵極驅動信號的振蕩機理后,進行了驅動電路的優化設計,在柵源極增加了緩沖電路。
與外加負壓電路以及有源驅動電路相比,該電路具有實現簡單、安全可靠的特點。采用該驅動電路實現的鎮流器,長期運行并未發生過熱和損壞MOSFET的現象。
聯系方式:鄒先生
聯系電話:0755-83888366-8022
手機:18123972950
QQ:2880195519
聯系地址:深圳市福田區車公廟天安數碼城天吉大廈CD座5C1
請搜微信公眾號:“KIA半導體”或掃一掃下圖“關注”官方微信公眾號
請“關注”官方微信公眾號:提供 MOS管 技術幫助

