場效應管的微變等效電路分析-KIA MOS管
信息來源:本站 日期:2021-07-06
場效應管的微變等效電路如圖所示。
得到了晶體管的h參數后,就可以畫出晶體管的線性等效電路,圖z0214是晶體管的h參數等效電路。
關于h參數等效電路,應注意以下幾點:
(1)電壓的參考極性為上正下負,電流的參考正方向是流入為正;
(2)電路中出現了受控源。受控源的大小和極性均具有從屬性。在分析電路時,可以象獨立源一樣進行等效變換,但控制量不能丟失,在涉及獨立源取零值的處理中,不能對受控源進行開路或短路處理,只能視控制量而定。
(3)微變等效電路只適用于低頻小信號放大電路,只能用來計算交流分量,不能計算總的瞬時值和靜態工作點。
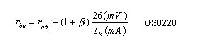
(4)晶體管的輸入電阻 rbe(hie)一般可用下列近似公式進行估算:
式中 表示晶體管基區的體電阻,對一般小功率管約為300ω左右(計算時,若未給出,可取為300ω),ie為通過管于發射極的靜態電流,單位是ma。在ie≤5ma范圍內,式gs0220計算結果與實際測量值基本一致。
聯系方式:鄒先生
聯系電話:0755-83888366-8022
手機:18123972950
QQ:2880195519
聯系地址:深圳市福田區車公廟天安數碼城天吉大廈CD座5C1
請搜微信公眾號:“KIA半導體”或掃一掃下圖“關注”官方微信公眾號
請“關注”官方微信公眾號:提供 MOS管 技術幫助

