650V?10A? KSF10065MOS管?? 1、650伏肖特基整流器 2、恢復時間縮短 3、...650V?10A? KSF10065MOS管?? 1、650伏肖特基整流器 2、恢復時間縮短 3、高速切換成為可能 4、高頻操作 5、超高速開關 6、變頻上的正溫度系數
泄放電阻電路分析 電路中,在儲能元器件兩端并聯一只電阻器給儲能元件提供一個...泄放電阻電路分析 電路中,在儲能元器件兩端并聯一只電阻器給儲能元件提供一個小號能量的通路,使電路安全。這個電阻就叫泄放電阻(注:儲能元件如電容器,電感器...
MOS管最常見的應用可能是高頻開關電源中的開關元件,此外,它們對電源輸出也大...MOS管最常見的應用可能是高頻開關電源中的開關元件,此外,它們對電源輸出也大有裨益。服務器和通信設備等應用一般都配置有多個并行電源,以支持N+1冗余與持續工作...
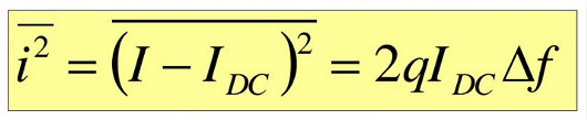
MOS管電流噪聲 MOS器件的本底噪聲是器件中電壓和電流的自發漲落,與電子電荷的...MOS管電流噪聲 MOS器件的本底噪聲是器件中電壓和電流的自發漲落,與電子電荷的離散性緊密相關。 噪聲的影響受器件及其所在電路放大能力的限制。 外界噪聲可以通...
KNX8103A 30V30A參數 電流:30A 電壓:30V 漏源極電壓:30V 柵源電壓:±2...KNX8103A 30V30A參數 電流:30A 電壓:30V 漏源極電壓:30V 柵源電壓:±20V 脈沖漏電流:60A 單脈沖雪崩能:72MJ 雪崩電流:21A 運行結溫范圍:-55℃至+...
MOS管柵極驅動振蕩 功率MOSFET以其開關速度快、驅動功率小和功耗低等優點在中...MOS管柵極驅動振蕩 功率MOSFET以其開關速度快、驅動功率小和功耗低等優點在中小容量的變流器中得到了廣泛的應用。當采用功率MOSFET橋式拓撲結構時,同一橋臂上的...